
인과관계, 상관관계, 컨트롤변수...에 대한 [考察이 귀찮아]

BGM을 살린 멋진 택견 '이크' '에크'
안녕!MBC충북 - 구독자 13만명
조회수 6천회 4년 전
https://youtu.be/g0nmk_xFY_o?si=ZmazLg4S84UtiC-E

2023/08/29 21:45

Cobb–Douglas production function - Wikipedia
https://en.wikipedia.org/wiki/Cobb%E2%80%93Douglas_production_function
Cobb–Douglas production function - Wikipedia
From Wikipedia, the free encyclopedia Macroeconomic formula that describes productivity Wire-grid Cobb–Douglas production surface with isoquants A two-input Cobb–Douglas production function with isoquants In economics and econometrics, the Cobb–Dougl
en.wikipedia.org


2023/08/30 09:10
https://www.facebook.com/sangchul.choi.102/posts/pfbid02GtwgTkHq8CAYjQDohKoEt96KzXaB7ZrDSBL6PsLbsXe2eXQ3Xm991SDvHR7rHVVTl


2023/08/30 10:10


2023/08/30 10:40

https://math.stackexchange.com/questions/1369773/what-is-the-limit-x-to-infty-of-xn-cdot-e-x

https://math.stackexchange.com/questions/1369773/what-is-the-limit-x-to-infty-of-xn-cdot-e-x
https://math.stackexchange.com/questions/3176391/limit-proof-of-ex-xn
https://math.stackexchange.com/questions/3232715/limit-of-xn-ex-when-x-tends-to-plus-infinity
https://math.stackexchange.com/questions/46469/how-to-integrate-int-xn-ex-dx
https://math.stackexchange.com/questions/1237122/integration-of-xn-e-x-dx
https://www.google.com/search?q=x%5En/e%5Ex+site:math.stackexchange.com&sca_esv=561186545&sxsrf=AB5stBjJG3I-hWIrEkYVj7Ozu50de2ZBJw:1693359282194&sa=X&ved=2ahUKEwiQ3PfznoOBAxWGQ94KHdEdDXQQrQIoBHoECBAQBQ&biw=1598&bih=886
https://www.google.com/search?q=x%5En%2Fe%5Ex&oq=x%5En%2Fe%5Ex&gs_lcrp=EgZjaHJvbWUyBggAEEUYOTIHCAEQABiABDIGCAIQABgeMgYIAxAAGB4yBggEEAAYHjIGCAUQABgeMgYIBhAAGB4yCAgHEAAYCBgeMggICBAAGAUYHjIICAkQABgFGB7SAQgxMDAwajBqN6gCALACAA&sourceid=chrome&ie=UTF-8

2023/08/30 11:10
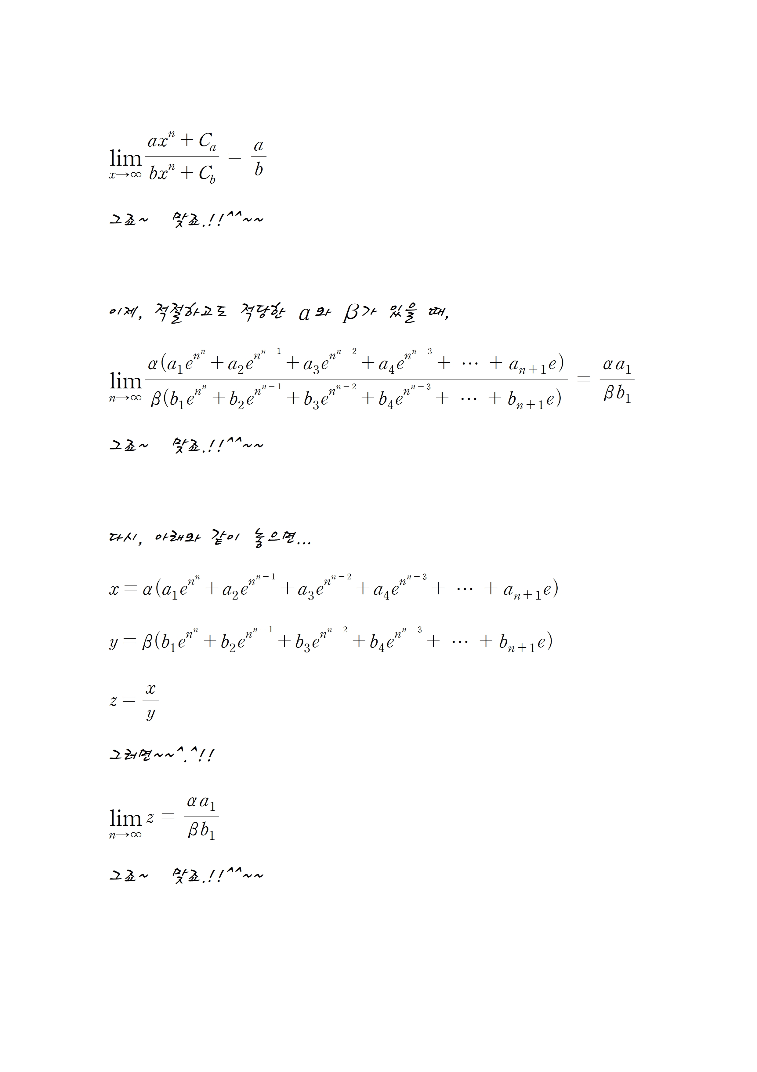
어쨌거나~ 저쨌거나...~~!!ㅋ.F!!
(a^b)^c = a^(bc)
a^(b^c) = ((((..((a)^b)^b)^b...)^b)^b
괄호가 c개.!!ㅋ.F???
b가 c개........./...//...~~!!F.ㅋ????

2023/08/30 14:15

Default (GPT-3.5)
User
Do you know classic arcade flight game with parenthesis shape weapon?
ChatGPT
Yes, it sounds like you're referring to the classic arcade flight game called "Galaga." In Galaga, players control a spaceship and must fend off waves of alien enemies by shooting at them. The unique feature you mentioned, the "parenthesis shape weapon," likely refers to the spaceship's ability to capture certain enemy ships using a tractor beam, which then join the player's ship as an additional firepower source. These captured ships are typically represented as twin fighters that move in a formation resembling parentheses, which might be where the term "parenthesis shape weapon" comes from. Galaga was released in 1981 by Namco and has become a beloved classic in the arcade gaming world.
User
Thank you.!!^^~~
ChatGPT
You're welcome! If you have any more questions or need further assistance, feel free to ask. Happy gaming! ^^
User
Wait.
ChatGPT
Sure, take your time. If you have any more questions or if there's something else you'd like to discuss, feel free to let me know!
User
갤러그 말고...비행선 좌우로 괄호 모양의 무기가 발사되는 고전 아케이드 게임을 알려주십시오
ChatGPT
죄송합니다, 제가 언급한 내용 이외에도 설명하신 게임에 대해서는 제 지식 범위 내에서는 알려드릴 수 없는 것 같습니다. 그러한 게임에 대한 정보를 찾고 계시다면, 게임의 이름이나 제작사 등의 추가 정보를 제공하시면 더 도움을 드릴 수 있을 것입니다.
User
반드시 고전 아케이드 게임에 국한시키지 말고, 오래된 컴퓨터 게임 중에서 비행선 좌우로 괄호 모양의 무기가 발사되는 게임에 대해 모르나요?
ChatGPT
죄송합니다, 하지만 제 지식 범위 내에서는 이에 해당하는 특별한 게임에 대한 정보를 찾지 못하고 있습니다. 이러한 게임에 대한 정보가 제한적이거나 특정한 경우, 더 많은 정보를 제공하시면 도움을 드릴 수 있을지도 모릅니다. 게임의 이름, 출시 연도, 플랫폼, 또는 추가적인 게임 내용 등이 있다면 더 정확한 정보를 찾을 수 있을 것입니다.
User
zanac 에서는 그러한 무기를 사용하지 않나요?
ChatGPT
네, 맞습니다! 제가 이해한 대로, 당신이 설명하고자 하시는 게임은 "Zanac"입니다. "Zanac"은 1986년에 컴퓨터 플랫폼과 NES 등에서 발매된 슈팅 게임으로, 플레이어의 우주선이 좌우로 움직이며 괄호 모양의 무기를 발사하는 것이 가능한 게임 중 하나입니다. 이 게임은 플레이어가 다양한 무기를 수집하고 업그레이드하면서 공격하는 전통적인 슈팅 게임의 형태를 갖추고 있습니다. "Zanac"은 당시에 혁신적인 슈팅 게임 중 하나로 인정받았으며, 아케이드나 컴퓨터 플랫폼에서 즐겨진 작품 중 하나입니다.
User
혹시, 그러한 게임 플레이가 나오는 영상의 url을 알 수 있습니까?
ChatGPT
죄송하지만, 제가 현재는 인터넷 브라우징 기능을 지원하지 않기 때문에 특정 영상의 URL을 제공해 드릴 수 없습니다. 그러나 "Zanac" 게임의 플레이 영상을 검색 엔진이나 비디오 공유 플랫폼에서 찾아보시면 원하시는 내용을 찾으실 수 있을 것입니다. 주로 YouTube나 Twitch 같은 플랫폼에서 관련 영상을 찾아보시면 도움이 될 것입니다.
Zanac *NES* Part 2 of 2
GrandMasterLynx - 구독자 4.92천명
조회수 4.4천회 16년 전
https://youtu.be/9Mnbs3KGJdY?si=z7AOrnAZVnULjLQx

2023/08/30 18:30
관계.關係.relation...란......뭘까요......인과관계...상관관계......그리고...에......또............./...//...~~!!ㅋ.F?????
https://choicecus.tistory.com/40
관계.關係.relation...란......뭘까요......인과관계...상관관계......그리고...에......또............./...//...
[LIVE CLIP] 케이시 (Kassy)_'그때가 좋았어' (The day was beautiful) 케이시 Kassy Official - 구독자 75,600 조회수 62만회 3년 전 https://youtu.be/5RN97CV9I6k
choicecus.tistory.com
서로 관련이 없는 것을,
인과관계 또는 그 정도가 매우 큰 상관관계를 갖는 것으로 만들려면,
그렇게 유지하는 어떤 존재가 있어야 하는 것이 보통이다.
https://choicecus.tistory.com/181
Choicecus' Maxim 2023_+2^4))th...서로 관련이 없는 것을, 인과관계 또는 그 정도가 매우 큰 상관관계를
서로 관련이 없는 것을, 인과관계 또는 그 정도가 매우 큰 상관관계를 갖는 것으로 만들려면, 그렇게 유지하는 어떤 존재가 있어야 하는 것이 보통이다. references(비공개 문서 포함) : https://blog.nav
choicecus.tistory.com
유동성 함정(流動性陷穽, Liquidity Trap)...에 대한 [考察이 귀찮아]...the 2nd............../...//...~~!!ㅋ.F!!
https://choicecus.tistory.com/79
통화량(通貨(供給)量, money supply, currency)...이 뭐까............../...//...~~!!ㅋ.=!??!!?!?!???!
https://choicecus.tistory.com/374
통화량(通貨(供給)量, money supply, currency)...이 뭐까............../...//...~~!!ㅋ.=!??!!?!
통화량(通貨(供給)量, money supply, currency)...이 뭐까............../...//...~~!!ㅋ.=!??!!?!?!???! 2023/08/28 14:20 사진제목: (まだ)残ってる。 写真のタイトル: (아직)남았네. 2023/08/28 15:10 https://ucampus.knou.ac.kr/ekp/
choicecus.tistory.com

ott ........이게 뭐지.!!ㅋ..ㅋ???....꼬라기는 컴퓨터 시켜서 글씨만 예쁘게 썼을 뿐인데~~~~~^^!!
https://choicecus.tistory.com/172
ott ........이게 뭐지.!!ㅋ..ㅋ???....꼬라기는 컴퓨터 시켜서 글씨만 예쁘게 썼을 뿐인데~~~~~^^!!
ott ........이게 뭐지.!!ㅋ..ㅋ???....꼬라기는 컴퓨터 시켜서 글씨만 예쁘게 썼을 뿐인데~~~~~^^!! https://choicecus.tistory.com/68 Approximating Eigen Value of N×N Complex Number Matrix...by Jenkins–Traub algorithm...with JAVA.!!
choicecus.tistory.com

2023/08/03 18:40


'考察이 귀찮아' 카테고리의 다른 글
| Solutions...~~^,^!! (2) | 2024.09.11 |
|---|---|
| Guess where OROBLAST is...~~!!^.^??? (1) | 2024.07.27 |
| 통화량(通貨(供給)量, money supply, currency)...이 뭐까............../...//...~~!!ㅋ.=!??!!?! (2) | 2023.08.28 |
| 부제: 경고!(Warning!!) 뽀~나쓰!!! 선지급3...........ㅋ..ㅋㅋㅋㅋ!!~~ (1) | 2023.08.16 |
| 자료구조 검색과 정렬 (1) | 2023.07.15 |